Prylnytt
Irix 150 mm f/2,8 Macro 1:1 är precis som namnet antyder ett teleobjektiv som återger motiv med skala 1:1 vid närgränsen. Det säljs med fattningar för Canon EF , Nikon F och - hör och häpna - Pentax K.
Irix är ett schweiziskt företag och vi har tidigare testat deras två första objektiv, två extrema, men prisvärda, vidvinklar: 11 mm f/4 och 15 mm f/2,4.
Nu är det dags för företagets tredje objektiv att lanseras, och även denna gång väljer de att göra ett objektiv där autofokus inte är en nödvändighet. Det är helt enkelt svårt och således kostsamt att utveckla autofokus.

Stativfoten är Arca Swiss-kompatibel och bländaren har 11 blad.
Irix 150 mm f/2,8 Macro 1:1 har alltså bara manuell fokusering. Fokusringen kan vridas 270 grader för att ge stor precision vid fokusering på korta avstånd. Det går att låsa fokusringen på vilket avstånd som helst. Objektivet har innerfokusering vilket gör att det inte växer under fokusering. Det fria arbetsavståndet är cirka 16 centimeter utan motljusskydd.
Det finns en inbyggd mikroprocessor som ger information som kommunicerar med kamerahuset så att bländaren kan styras från kamerahuset och så att alla automatiklägen fungerar. Bländaren har 11 blad för att ge rundade oskärpecirklar vid nedbländning.
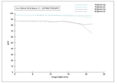
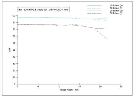
Objektivet är i praktiken helt raktecknande och kan därför passa bra för reproduktion. Distorsionen anges till mindre än 0,1 procent.
Men vanligast är att objektivet kommer att användas ute i naturen eftersom en lång brännvidd ger ett stort fritt arbetsavstånd mellan frontlins och motiv. Då är det tryggt att veta att Irix 150/2,8 är vädertätat.
Irix 150 mm f/2,8 Macro 1:1 levereras med ett kraftigt motljusskydd och ett roterbart stativfäste som har en Arca Swiss-kompatibel fot.
I pressmeddelandet från Irix uppges varken pris eller när objektivet börjar levereras, så de uppgifterna får vi återkomma med.
2 Kommentarer
Logga in för att kommentera